
목차 |
홈페이지
TSE – Technology and Science Enabler in the field of semiconductor and OLED, LED Test. Test interface Board, Load Board, Probe
tse21.com
기업소개
(주)티에스이 (지배회사)
당사는 반도체 및 디스플레이 검사장비 전문 기업으로써, 반도체 웨이퍼(Wafer) 상태에서의Test를 위한 핵심 장치인 Probe Card, Package 검사단계에서의 핵심 역할을 하는 Test Interface Board 및Test socket, OLED 검사장비를 생산 및 판매하고 있습니다. 또한LED의 전기적/광학적 특성을 검사하기 위한Total Test Solution을 제공합니다. 당사의 사업 중Probe Card와 Test Interface Board, Test Socket은 반도체산업에 속해 있으며, OLED/LED 검사장비는 디스플레이 산업에 속해 있습니다.
(주)타이거일렉
당사는 Rigid PCB중 반도체 제조공정 중 後 공정인 검사공정에서 사용되는 PCB를 주로 생산하는 기업이며, 주요 제품으로는 Probe Card PCB, Load Board PCB, Socket Board PCB, Burn-in Board PCB 등이 있습니다.
(주)메가터치
당사는 반도체 소자검사에 사용되는 범용/특수Probe pin과 전기자동차, 헨드폰등에 널리 사용되는2차 베터리의 고전류 충방전 검사에 사용되는probe pin의 제조/판매하는 사업을 영위하고 있습니다.
***주요 제품 등의 현황

***매출실적



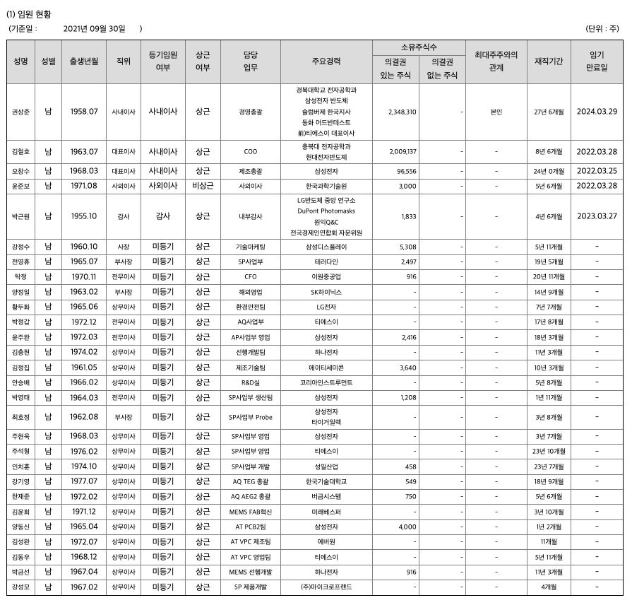
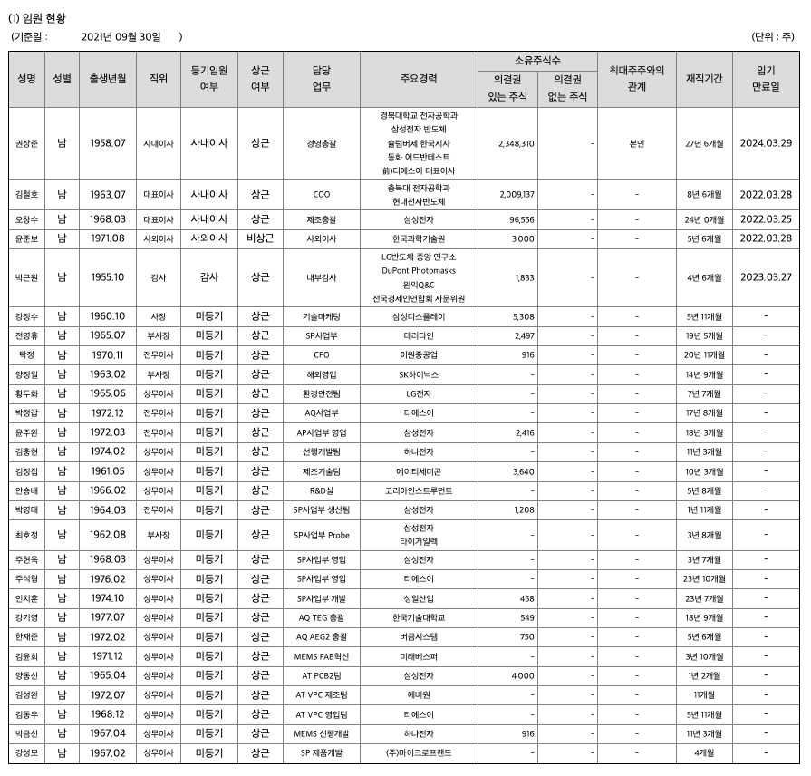
주주에 관한 사항


포괄손익계산서

매출액 : 2018년 1844억원, 2019년 1915억원, 2020년 2855억원, 2021년 1,2,3분기 2203억원으로 전년동기대비 감소하였습니다. 2021년 3분기는 전년동기대비 -1.2% 감소하였습니다. 2020년 분기별로 보면 4분기 624억원, 2021년 1분기 615억원, 2분기 857억원, 3분기 731억원입니다.
영업이익 : 2018년 148억원, 2019년 207억원, 2020년 427억원, 2021년 1,2,3분기 432억원으로 전년동기대비 증가하였습니다. 2021년 3분기는 전년동기대비 2.9% 증가하였습니다. 2020년 분기별로 보면 4분기 7억원, 2021년 1분기 119억원, 2분기 205억원, 3분기 109억원입니다.
재무상태표

자산은 2018년 2295억원, 2019년 2636억원, 2020년 3011억원, 2021년 1,2,3분기 3491억원으로 증가 하였습니다.
부채는 2018년 513억원, 2019년 688억원, 2020년 762억원, 2021년 1,2,3분기 870억원으로 증가 하였습니다.
자본은 2018년 1782억원, 2019년 1948억원, 2020년 2249억원, 2021년 1,2,3분기 2622억원으로 증가 하였습니다.
자산의 총계는 부채가 자본의 비율보다 낮아 재정건전성이 안정적입니다.
현금흐름표

영업활동 현금흐름 : 2018년 281억원, 2019년 102억원, 2020년 600억원, 2021년 1,2,3분기 352억원으로 영업활동 현금흐름이 원활합니다.
투자활동 현금흐름 : 2018년 -307억원, 2019년 -123억원, 2020년 -601억원, 2021년 1,2,3분기 -531억원으로 투자활동 현금흐름이 원활합니다.
재무활동 현금흐름 : 2018년 40억원, 2019년 67억원, 2020년 74억원, 2021년 1,2,3분기 79억원으로 재무활동 현금흐름이 원활합니다.
- 참고로...재무활동에 대한 이해를 위해 아래를 참고하세요
- 1) 플러스 현금 흐름을 발생시키는 재무 활동 : 투자자에게 판매되는 주식 또는 주식 발행, 채권자 또는 은행에서 채무 차입, 투자자가 매입하는 부채 인 채권 발행
- 2) 마이너스 현금 흐름을 발생시키는 재무 활동 : 자사주 매입, 배당금 지급, 부채 상환
종목분석
시세 및 주주현황

52주베타*(시장민감도)는 0.65로 평균(1)보다 낮아 시장민감도가 낮습니다.
*베타계수는 증권시장 전체의 수익률 변동에 대한 개별 자산의 수익률 민감도를 나나태는 지표입니다. 즉, 이 지수가 높으면 시장의 움직임에 보다 민감하게 반응하는 주식이라고 여기면 됩니다.(예를 들어 베타가 1.5이면, 시장이 1% 상승 시 1.5%상승하고, 베타가 0.5이면 시장 1% 상승 시 0.5% 상승하게 됩니다. 반대로 하락의 경우도 같이 적용됩니다.)

CAPEX(Capital expenditures,자본적 지출,미래의 이윤을 창출하기 위해 지출한 비용을 말함) : 2018년 198억원, 2019년 238억원, 2020년 389억원으로 CAPEX가 좋습니다. 2021년은 350억원으로 추정됩니다.
FCF(미래현금흐름) : 2018년 83억원, 2019년 -136억원, 2020년 211억원으로 미래현금흐름이 좋습니다. 2021년은 347억원으로 추정됩니다.

매출총이익률 : 2016년 약 9%, 2017년 약 25%, 2018년 약 24%, 2019년 약 27%, 2020년 약 28%입니다.
영업이익률 : 2016년 약 -9%, 2017년 약 12%, 2018년 약 8%, 2019년 약 10%, 2020년 약 14%입니다.
ROE(Return On Equity, 자기자본순이익율, 주주의 관점) : 2016년 약 -11%, 2017년 약 11%, 2018년 약 8%, 2019년 약 10%, 2020년 약 15%이고, 자기자본순이익율은 이상율(10%)보다 높습니다.
ROA(Return On Assets, 총자산순이익율, 경영자의 관점) : 2016년 약 -7%, 2017년 약 8%, 2018년 약 5%, 2019년 약 6%, 2020년 약 10%이고, 총자산이익율은 이상율(10%)보다 높습니다.

DPS(Dividend Per Share의 약자, 총배당금을 총주식발생수로 나눈 것, 한 주당 얼만큼의 배당금을 받을 수 있는지 알 수 있는 지표, DPS가 높을 수록 배당금이 많은 것임) : 2018년 200원, 2019년 200원, 2020년 250원으로 전년동기 증가하였습니다.
현금배당수익률(최근1년간 배당금 합계를 전일 보통주 주가로 나눈값) : 2018년 3.06배, 2019년 1.45배, 2020년 0.4배으로 전년동기 감소하였습니다.
현금배당성향(기업이 버는 돈에 비하여 배당을 지급하는 백분율, 총배당금/당기순이익/100) : 2018년 16%, 2019년 12%, 2020년 9%으로 전년동기 감소하였습니다.

총자산회전율 : 2018년 약 2295억원, 2019년 약 2636억원, 2020년 약 3010억원이고, 회전율은 2018년 약 0.85%, 2019년 약 0.78%, 2020년 약 1.01%로 총자산회전율이 높아지고 있습니다.
매출채권회전율(높을 수록 좋습니다) : 2018년 약 1603억원, 2019년 약 1782억원, 2020년 약 1948억원이고, 회전율은 2018년 약 1.09%, 2019년 약 1.03%, 2020년 약 1.36%로 안정적입니다.
재고자산회전율(높을 수록 좋습니다) : 2018년 약 억원, 2019년 약 억원, 2020년 약 억원이고, 회전율은 2018년 약 %, 2019년 약 %, 2020년 약 %로 안정적입니다.
**매출채권회전일수(=돈을 받는 순환일 수, 낮을 수록 좋습니다) 약 66일, 재고자산회전일수(=재고자산 빠지는 일수, 높을 수록 좋습니다) 약 38일, 매입채무회전일수(=돈을 늦게 줘도 되는 일 수, 높을 수록 좋습니다) 약 12일이고, Cash Cycle(현금회전율, 낮을 수록 좋습니다) 약 92일로 현금운영입니다.
기업실적분석

부채비율 : 2018년 약 28%, 2019년 약 35%, 2020년 약 33%로 감소하고 있으며, 표준(100%)보다 낮아 부채비율이 안정적입니다.
당좌비율 : 2018년 약 247%, 2019년 약 187%, 2020년 약 189%로 증가하고 있으며, 표준보다 높아 당좌비율이 안정적입니다.
유보율 : 2018년 약 2760%, 2019년 약 3015%, 2020년 약 3466%로 증가하고 있고, 유보율이 높아 사내 유동자산이 좋습니다.
2021년 기대되는 적정주가(ROE x EPS) = 22.29x 4330원으로, 적정주가의 가격은 96,000원으로 평가됩니다.
2021년 기대되는 적정시총(ROE x 영업이익) = 22.29x 558억원으로, 그 합산은 1조2437억원입니다. 적정주가 대비 약 100% 저평가입니다.
차트 및 총평




티에스이의 2021년 영업이익은 558억원으로 추정됩니다. 현재(21. 2. 25) 시가총액은 6891억원으로 멀티플 12입니다.
목표주가는 95,000원입니다.
매매포인트
티에스이의 주가는 21년 3월 반등하여 증가하였고 21년 8월 최고 80,500원을 찍고 조정을 받고, 보합중에 있습니다.
매수적정가는 62,000원초반 입니다.
추정평균단가(22년 2월 25일)
| 종목명 | 현재가 | 개인 | 외국인 | 기관 |
| 티에스이 | 62,300원 | 68,262원 | 68,089원 | 69,526원 |
'주식 > 코스닥' 카테고리의 다른 글
| 에스피지 주가전망 (058610) : 제습기, 전기자전거, 철도, 가상현실, 공기청정기 관련주(22.2.28업뎃) (1) | 2022.02.28 |
|---|---|
| 엠투아이 347890 : 스마트팩토리 관련주(22.2.27업뎃) (2) | 2022.02.27 |
| 테스나 주가전망 (131970) : 사물인터넷, 시스템반도체 관련주(22.2.24업뎃) (1) | 2022.02.24 |
| 이엠텍 주가전망 (091120) : 휴대폰, 스마트폰, 전자담배 관련주(22.2.22업뎃) (2) | 2022.02.22 |
| 미스터블루 주가전망 (207760) : 모바일 콘텐츠, 모바일 게임, 웹툰 관련주(22.2.21업뎃) (1) | 2022.02.21 |

댓글