
OCI 목차 |
홈페이지
OCI 주식회사
www.oci.co.kr
기업소개
연결회사는 1959년 지배회사의 설립 이래, 고부가가치 화학제품을 생산해온 업체로, 화학산업에서 얻은 기술력, 공정 노하우, 효율적인 제조능력 등을 활용하여 고성장ㆍ고수익이 기대되는 사업들을 발굴해왔습니다. 연결회사는 군산, 포항, 광양, 익산, 천안 등 국내 각지와 미국, 중국, 말레이시아 등 해외에 생산시설을 보유하고 있으며, 생산한 제품들은 태양광 발전과 같은 신재생에너지산업에서부터 반도체, TFT-LCD와 같은 첨단 기술 산업, 그리고 자동차, 소비재 등과 같은 산업에 이르기까지 다양한 산업군에서 활용되고 있습니다. 연결회사의 사업은 베이직케미컬 사업 부문, 카본케미컬 사업 부문, 에너지솔루션 사업 부문, 도시개발사업 부문, 기타 사업 부문으로 구성되어 있으며, 사업 부문별 주요 사업의 내용은 아래와 같습니다.

(1) 베이직케미컬 사업 부문
베이직케미컬 사업 부문은 주로 무기화학제품들을 생산하는 분야이며, 주요 제품은 폴리실리콘 등 태양광산업 관련 소재, 과산화수소, TDI 등이 있습니다. 무기화학제품은 각종 화학 및 비화학제품을 생산하는 데 쓰이며, 주로 원료, 가공보조재, 촉매 등으로 사용됩니다. 폴리실리콘이 주요 소재로 사용되는 태양광산업은 다양한 제품 및 연관 산업으로 이루어진 종합 산업의 특성을 가지고 있습니다. 정부주도형 산업에서 수익성에 기반한 산업으로 변화하고 있으나, 아직은 국가의 보급정책 및 보조금에 크게 영향을 받고 있습니다. 과산화수소는 제지(신문용지) 또는 섬유 표백, PCB, LCD, 반도체의 세정 등 다양한 산업에 사용되며, TDI는 폴리우레탄(PU)의 기초원료로서 자동차, 신발, 가구, 도료, 접착제 등 산업분야 및 일상생활에 폭넓게 사용되고 있습니다.
연결회사는 50년 이상 고부가가치 화학제품 생산에 매진해 오면서 얻은 경험, 공정기술에 대한 심도 있는 지식과 노하우를 바탕으로, 폴리실리콘 같은 신규 사업에서 빠르게 선도적 위치를 확보해왔습니다. 2020년 2월 연결회사는 한국 사업장의 폴리실리콘 생산 규모를 축소하기로 결정하였습니다. 설비보완을 거친 후 일부 설비는 가동을 재개하여, 한국에서는 반도체용 고순도 폴리실리콘 사업에 집중하고, 말레이시아 사업장에서는 태양광용 폴리실리콘을 생산하는 투트랙(two-track) 전략을 펼쳐나가고 있습니다. 지배회사는 고부가가치 사업 확장을 위해 (주)포스코케미칼과 합작사 (주)피앤오케미칼을 설립하여 2021년 1월 연산 5만톤 규모의 고순도 과산화수소 생산공장을 착공하였습니다. 지배회사의 기술력과 포스코케미칼의 경쟁력 있는 원료가 만나 시너지 효과를 낼 것으로 기대하고 있습니다.
(2) 카본케미컬 사업 부문
연결회사의 카본케미컬 사업 부문은 석탄석유화학제품이 주를 이룹니다. 석탄석유화학산업은 석탄과 석유를 원료로 각종 화합물이나 다른 형태의 에너지를 생산하는 산업을 의미하며, 카본블랙, 핏치, 벤젠, P/A 등이 주요 제품입니다. 석탄은 19세기 말부터 현재까지 각종 화학공업의 원료로 다양하고 광범위하게 사용되어오고 있으며, 석탄화학산업은 최근 중국과 신흥 개발도상국을 중심으로 그 중요성과 활용도가 재조명되고 있습니다. 석유는 20세기 들어 기술이 발달하면서 생활에 필수적인 자원으로 자리 잡았고, 석유화학산업은 의식주와 관련된 각종 생활용품에서부터 전기ㆍ전자, 컴퓨터, 자동차, 건설 등 여타 산업의 기초소재를 생산, 공급하는 주요 기간산업입니다.
연결회사의 카본블랙은 석유계 및 석탄계 원료 모두에 대응하여 생산 가능한 시스템을 갖추고 있어, 원료 가격 변동에 따른 리스크를 최소화하고 있습니다. 연결회사의 핏치는 전 세계 콜타르 핏치 시장에서 높은 시장 점유율을 유지하고 있으며, 세계 유수의 알루미늄 제련업체들로부터 균일한 품질 및 안정적인 공급으로 인정을 받고 있습니다. BTX, P/A 등도 엄격한 품질관리와 환경 관리, 안전 관리를 통해 고객의 요구에 부응하고 있습니다.
(3) 에너지솔루션 사업 부문
신재생에너지산업은 국가 정책에 큰 영향을 받습니다. 환경보전과 지속가능성에 대한 관심이 확대되면서 세계 각국은 정부 차원에서 신재생에너지산업을 집중 육성하려는 움직임을 보이고 있어, 중장기적으로 밝은 전망을 보이고 있습니다.
연결회사는 미국 텍사스 주 샌 안토니오시(San Antonio)에서 북미 최대인 450MWac규모의 Alamo 프로젝트를 진행하며 북미시장 태양광발전 개발자로 인정받았고, 북미시장에서의 경험을 토대로 중국 저장(Zhejiang)성 자싱(Jiaxing)시 등지에도 태양광발전 설비 약 22MW를 설치, 운영 중입니다. 이와 같은 사업추진 경험과 운영 노하우, 초기 투자비가 높은 발전사업의 특성을 바탕으로, 사업개발부터 자금조달, 시공, 관리 운영에 이르기까지 발전 사업의 전 업무 영역을 아우르는 사업 솔루션을 제공하고 있습니다. 또한 2019년 1월 종속회사인 OCI파워가 인버터 제조회사인 카코뉴에너지㈜의 영업 양수를 완료하면서, 인버터, 전력변환장치(PCS) 등 제조 기술도 확보하였습니다. 현재 전략적 제휴를 통해 전기차 재사용배터리를 활용한 태양광 발전용 ESS 사업화를 진행하고 있으며, ESS와 태양광 발전을 아우르는 사업 모델을 발굴하고 시장 내 입지를 더욱 강화해 나갈 계획입니다.
(4) 도시개발 사업 부문
도시개발 사업은 소비자의 요구와 정부 및 지방자치단체의 정책에 많은 영향을 받으며, 지역주민 및 환경단체와의 관계도 사업 성과에 영향을 줍니다. 부동산, 환경, 정부 정책 등 다양하고 폭넓은 요구에 효과적으로 대응하여야 합니다.
연결회사가 개발사업을 진행한 인천의 '시티오씨엘'은 13,000여 세대의 미니 신도시급 대규모 개발로서, 신설된 학익역, 제2경인고속국도로 및 10만평 규모의 공원에 인접해 있어 최고의 입지 조건을 갖추고 있습니다. 또한 HDC현대산업개발, 현대건설, 포스코건설 등 국내 최정상의 건설사들이 높은 품질의 주택을 건설하여, 추후 부동산가치의 상승 역시 기대할 수 있습니다. 최근 이와 같은 경쟁 우위 요소를 바탕으로 높은 관심과 호응 속에 1차 분양을 성공적으로 진행했으며, 이어지는 분양 역시 흥행을 이어갈 것으로 예상됩니다.
***신규 추진 사업의 내용 및 전망
- 사업 분야의 내용 및 진출 목적
전세계적으로 향상된 생활수준과 인구의 고령화로 신종ㆍ만성 질환이 증가하면서, 건강한 삶과 노후에 대한 관심이 높아지고, 의약 및 바이오 관련 기술이 글로벌 산업 트렌드로 떠올랐습니다. 연결회사는 고순도 화학제품 제조에서 쌓은 노하우와 다양한 M&A, 전략적 제휴를 진행했던 경험을 바탕으로 제약ㆍ바이오 산업 분야에 진출하였습니다.
- 시장의 주요 특성
제약ㆍ바이오 산업은 국민의 건강과 삶에 밀접하게 연결되어 있어 차세대 유망 산업으로 각광받고 있고, 제품 개발에서 생산까지 기술 집약도가 높아 고부가가치 창출이 가능한 산업입니다. 세계 의약품시장은 2000년대 중반 이후 꾸준한 성장세를 보이고 있으며, 바이오 산업 내에서도 바이오 의약품이나 바이오 원료 등 새로운 영역 또한 지속적으로 확대되고 있습니다. 이러한 시장 상황 및 기회 요인을 바탕으로 유수의 제약 기업들 뿐만 아니라, 세계적인 화학업체들도 제약ㆍ바이오 산업에 진출하고 있습니다.
- 신규사업 관련 투자 및 예상 자금소요액 등
연결회사는 신규 사업 추진의 일환으로 해외 유망 제약ㆍ바이오 벤처기업에 투자하기 위해, 2019년 5월 미국에 종속회사 OCI Investments Corp.를 설립하였습니다. OCI Investments가 투자한 항암 면역세포유전자 치료제 개발업체인 Adicet Bio Inc.는 2020년 9월 resTORbio와 합병하여 나스닥에 상장되며 큰 기대를 모으고 있습니다. 또한 연결회사는 2019년 1월에는 췌장암 치료제 후보물질 파이프라인을 보유한 벤처기업 (주)에스엔바이오사이언스의 지분 약 29%(공시서류제출일 전일 기준 약 25%)를 취득하였으며, 2021년 4월에는 항암치료제 분야 유망 벤처기업인 파노로스바이오사이언스에 투자를 진행하였습니다. 2018년부터 상장되지 않은 제약ㆍ바이오 벤처기업에 투자하는 벤처 투자 조합인 시너지 헬스케어 펀드에 출자하고 있으며, 2018년 7월 (주)부광약품과 합작 회사인 비앤오바이오(주)를 설립하고 2019년 6월 액상생검을 이용한 암진단 제품 개발 회사인 Nucleix에 투자하는 등 신약 파이프라인 확보 및 제조를 위한 공동 투자를 이어가고 있습니다. 연결회사는 산업 내 선도기업과의 협업, 전도유망한 벤처기업에 대한 전략적 투자 등을 통해 안정적으로 신규 시장에 진입할 수 있을 것으로 기대하고 있습니다. 앞으로도 회사 내ㆍ외부 역량을 활용하여 M&A를 포함한 투자, 라이선스 인 등을 통해 신규 사업모델을 발굴해 나갈 계획입니다.
- 신규사업 진행 사항의 판단에 필요한 정보
연결회사는 후보 물질 발굴에서부터 개발, 제조에 이르는 신약 개발의 전과정을 직접 수행하기보다는, 성공 가능성이 높은 신약 파이프라인에 투자하여 투자 리스크를 최소화하는 방향으로 비즈니스를 진행하고 있습니다. 연결회사는 효과적인 신약 파이프라인 확보 전략을 수립하고 다양한 기회를 발굴하여 글로벌 바이오 기업으로 도약할 수 있도록 최선의 노력을 다하겠습니다.
***사업 부문별 요약 재무 현황

***주요 제풀 등의 현황
연결회사는 베이직케미컬 사업 부문(폴리실리콘 등 태양광산업 관련 소재 등), 카본케미컬 사업 부문(카본블랙, 핏치, 벤젠, P/A 등), 에너지솔루션 사업 부문(태양광 발전, 열병합 발전 등), 기타 사업 부문(단열재 등 관련 제품의 제조 및 판매, 부동산 임대, 도시개발사업 등)으로 영업활동을 영위하고 있습니다. 부문별 매출액과 총 매출액에서 차지하는 비율은 아래와 같습니다.

***매출실적

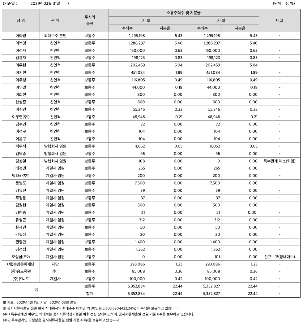
주주에 관한 사항






포괄손익계산서

매출액 : 2018년 31,121억원, 2019년 26,051억원, 2020년 20,025억원으로 감소, 2021년 1분기 5737억원으로 전년동기대비 증가하였습니다. 2021년 1분기는 전년동기대비 0.9% 증가하였습니다. 2020년 분기별로 보면 2분기 4016억원, 3분기 4680억원, 4분기 5642억원입니다.
영업이익 : 2018년 1587억원, 2019년 -1806억원으로 적자전환, 2020년 -861억원으로 적자지속, 2020년 1분기 470억원으로 전년동기대비 흑자전환하였습니다. 2020년 분기별로 보면 2분기 -443억원, 3분기 181억원, 4분기 330억원입니다.
재무상태표

자산은 2018년 56,596억원, 2019년 48,112억원, 2020년 44,372억원으로 감소, 2021년 1분기 46,168억원으로 증가 하였습니다.
부채는 2018년 21,670억원, 2019년 21,255억원, 2020년 20,515억원으로 감소, 2021년 1분기 21,663억원으로 증가하였습니다.
자본은 2018년 34,926억원, 2019년 26,857억원, 2020년 23,857억원으로 감소, 2021년 1분기 24,505억원으로 증가 하였습니다.
자산의 총계는 부채가 자본의 비율보다 낮아 재정건전성이 안정적입니다.
현금흐름표

영업활동 현금흐름 : 2018년 6765억원, 2019년 -399억원, 2020년 -1185억원, 2021년 1분기 223억원으로 2018년과 2021년 1분기의 영업활동 현금흐름만 원활합니다.
투자활동 현금흐름 : 2018년 -3989억원, 2019년 -2715억원, 2020년 62억원, 2021년 1분기 -869억원으로 2020년을 제외하고 투자활동 현금흐름이 원활합니다.
재무활동 현금흐름 : 2018년 -4602억원, 2019년 427억원, 2020년 769억원, 2021년 1분기 253억원으로 2018년의 재무활동 현금흐름은 마니어스, 2019년이후 재무활동 현금흐름은 플러스입니다.
- 참고로...재무활동에 대한 이해를 위해 아래를 참고하세요
- 1) 플러스 현금 흐름을 발생시키는 재무 활동 : 투자자에게 판매되는 주식 또는 주식 발행, 채권자 또는 은행에서 채무 차입, 투자자가 매입하는 부채 인 채권 발행
- 2) 마이너스 현금 흐름을 발생시키는 재무 활동 : 자사주 매입, 배당금 지급, 부채 상환
종목분석
시세 및 주주현황

52주베타*(시장민감도)는 0.89로 평균(1)보다 낮아 시장민감도가 낮습니다.
*베타계수는 증권시장 전체의 수익률 변동에 대한 개별 자산의 수익률 민감도를 나나태는 지표입니다. 즉, 이 지수가 높으면 시장의 움직임에 보다 민감하게 반응하는 주식이라고 여기면 됩니다.(예를 들어 베타가 1.5이면, 시장이 1% 상승 시 1.5%상승하고, 베타가 0.5이면 시장 1% 상승 시 0.5% 상승하게 됩니다. 반대로 하락의 경우도 같이 적용됩니다.)

CAPEX(Capital expenditures,자본적 지출,미래의 이윤을 창출하기 위해 지출한 비용을 말함) : 2018년 2767억원, 2019년 2306억원, 2020년 733억원으로 CAPEX가 좋습니다. 2021년은 1241억원으로 추정됩니다.
FCF(미래현금흐름) : 2018년 3999억원, 2019년 -2705억원, 2020년 -1918억원으로 2019년과 2020년의 미래현금흐름은 좋지 못합습니다. 2021년은 3203억원으로 추정됩니다.

매출총이익률 : 2016년 약 12.42%, 2017년 약 13.73%으로 증가, 2018년 약 11.75%으로 감소, 2019년 약 1.54%로 감소, 2020년 약 6.42%으로 증가하였습니다.
영업이익률 : 2016년 약 4.84%, 2017년 약 7.83%로 증가, 2018년 약 5.1%로 감소, 2019년 약 -6.93%로 적자전환, 2020년 약 -4.3%으로 적자지속하였습니다.
ROE(Return On Equity, 자기자본순이익율, 주주의 관점) : 2016년 약 7.87%, 2017년 약 7.17%로 감소, 2018년 약 3.06%로 감소, 2019년 약 -26.2%로 마이너스, 2020년 약 -9.89%으로 마이너스지속하였고, 자기자본순이익율은 이상율(10%)보다 낮습니다.
ROA(Return On Assets, 총자산순이익율, 경영자의 관점) : 2016년 약 3.24%, 2017년 약 3.77%로 증가, 2018년 약 1.77%로 감소, 2019년 약 -15.42%로 마이너스, 2020년 약 -5.43%으로 마이너스 지속하였고, 총자산이익율은 이상율(10%)보다 낮습니다.

DPS(Dividend Per Share의 약자, 총배당금을 총주식발생수로 나눈 것, 한 주당 얼만큼의 배당금을 받을 수 있는지 알 수 있는 지표, DPS가 높을 수록 배당금이 많은 것임) : 2016년 400원, 2017년 1950원, 2018년 850원입니다.
현금배당수익률(최근1년간 배당금 합계를 전일 보통주 주가로 나눈값) : 2016년 0.51배, 2017년 1.43배, 2018년 0.79배입니다.
현금배당성향(기업이 버는 돈에 비하여 배당을 지급하는 백분율, 총배당금/당기순이익/100) : 2016년 3.94%, 2017년 19.8%, 2018년 19.53%, 2019년 0%, 2020년 0%입니다.

총자산회전율 : 2018년 약 56,595억원, 2019년 약 48,112억원, 2020년 약 44,372억원이고, 회전율은 2018년 약 0.53%, 2019년 약 0.5%, 2020년 약 0.43%로 총자산회전율이 낮아지고 있습니다.
매출채권회전율 : 2018년 약 4186억원, 2019년 약 3926억원, 2020년 약 3186억원이고, 회전율은 2018년 약 6.69%, 2019년 약 6.42%, 2020년 약 5.63%로 안정적입니다.
재고자산회전율 : 2018년 약 5446억원, 2019년 약 9063억원, 2020년 약 8135억원이고, 회전율은 2018년 약 6.89%, 2019년 약 3.59%, 2020년 약 2.33%로 안정적입니다.
**매출채권회전일수(=돈을 받는 순환일 수, 낮을 수록 좋습니다) 약 64일, 재고자산회전일수(=재고자산 빠지는 일수, 낮을 수록 좋습니다) 약 156일, 매일채무회전일수(=돈을 늦게 줘도 되는 일 수, 높을 수록 좋습니다) 약 23일이고, Cash Cycle(현금회전율, 낮을 수록 좋습니다) 약 198일로 현금운영이 안정적이지 못합니다.
기업실적분석

부채비율 : 2018년 약 62%, 2019년 약 79%, 2020년 약 85%로 감소하고 있으며, 표준(100%)보다 낮아 부채비율이 안정적입니다.
당좌비율 : 2018년 약 134%, 2019년 약 148%, 2020년 약 141%로 감소하고 있으며, 표준보다 높아 당좌비율이 안정적입니다.
유보율 : 2018년 약 2604%, 2019년 약 1956%, 2020년 약 1760%로 감소하고 있고, 유보율이 높아 사내 유동자산이 좋습니다.
2021년 기대되는 적정주가(ROE x EPS) = 11.76x 12,263원으로, 적정주가의 가격은 144,200원으로 평가됩니다.
2021년 기대되는 적정시총(ROE x 영업이익) = 11.76x 4178억원으로, 그 합산은 4조 9133억원입니다. 적정주가 대비 약 90% 저평가입니다.
차트 및 총평




OCI의 2021년 영업이익은 4178억원으로 추정됩니다. 현재(21. 7. 2) 시가총액은 억원으로 멀티플 입니다.
목표주가는 160,000원입니다.
매매포인트
OCI는 20년 12월부터 주가가 급등하여 지속적으로 우상향하였고, 21년 4월 최고 147,000원을찍고 조정을 받은 후 보합상태에 있습니다.
매수적정가는 110,000원초반 입니다.
추정평균단가(21년 7월 2일)
| 종목명 | 현재가 | 개인 | 외국인 | 기관 |
| OCI | 120,500원 | 124,559원 | 126,697원 | 127,269원 |
'주식 > 유가증권시장' 카테고리의 다른 글
| 현대비앤지스틸(004560) 주가, 차트, 종목분석 : 비철금속, 철강 관련주 (0) | 2021.07.06 |
|---|---|
| DL이앤씨(375500) 주가, 종목, 차트 분석 : 건설 관련주 (1) | 2021.07.03 |
| 기업은행(024110) 주가, 종목, 차트 분석 : 은행 관련주 (2) | 2021.06.29 |
| SK하이닉스(000660) 주가, 종목, 차트 분석 : 반도체 관련주 (2) | 2021.06.28 |
| 솔루스첨단소재(336370) 주가분석 : 2차전지, 디지털뉴딜, OLED 관련주 (5) | 2021.06.23 |

댓글