
모베이스전자 목차 |
홈페이지
모베이스전자
www.seoyonelec.com
기업소개
당사는 시장의 다변화를 위해 국내외 신규 고객을 찾고, 제품을 수주하기 위해 노력하고 있습니다. 국내 완성차 업체의 글로벌 인지도 상승에 따라 자동차부품업체에 대한 글로벌 인지도 역시 상승하고 있으며, 국내 자동차부품업체의 글로벌 완성차업체 진출이 활발히 진행되고 있습니다. 이와 함께 보쉬, 콘티넨탈, 덴소 등의 글로벌 부품업체의 국내 진출도 활발히 진행되고 있어 우리의 자동차 부품업체의 대형화, 전문화에 대한 요구가 강화되고 있습니다. 또한 자동차의 전장화와 더불어 친환경차, 자율주행차로 이어지는 자동차 시장의 변화는 이전보다 더욱 높은 수준의 품질 및 기술력 확보에 대한 경쟁으로 이어지고 있습니다.
당사는 우수한 품질의 자동차용 Smart Key System, Car Lock Set, Multifunction Switch 및 Power Window Switch 등의 스위치류, BCM, 무선충전기, 집중형조작계, Immobilizer 등의 전자Unit 등의 부품과 Magnesium Diecasting 부품을 생산, 공급하는 동종업계의 선두주자입니다. ISO14001, ISO/TS16949 인증을 획득하여 품질 및 환경경영 측면에서 세계적으로 인정받고 있으며, CMMI Level 3 국제품질 인증을 획득하여 자동차 제품 개발 전문업체로서 지속적인 성장과 최고 수준의 제품개발 품질 확보/개선을 한 단계 더 강화하여 품질 만족을 위한 조직 프로세스 경영을 정착화 하였습니다. 그리고 끊임없는 연구개발을 통하여 기술력 강화, 생산능력의 극대화를 이룩함으로써 자동차 전장품 업계의 전문업체로서 입지를 확고히 하고 있습니다. 또한 2014년 5월 중소기업청 주관 '월드클래스 300 프로젝트' 대상기업으로 선정되어기술확보, 시장확대, 인력확보, 자금지원, 각종 컨설팅 관련하여 지원을 받게 되었고, 2018년 품질경쟁력 우수기업으로 선정(6년 연속 수상) 및 품질경쟁력 혁신부문 국가품질혁신상(대통령상)을 수상하는 등 보다 높은 품질 수준 달성을 위해 노력하고 있습니다.
연결실체는 자동차 부품 단일 영업부문에 대하여 수직계열화 및 현지화를 통하여 사업을 영위하고 있으며, 영업부문별로 구분하여 별도의 공시를 하지 않습니다. 소재 지역별 자회사별 주요 재무정보는 아래와 같습니다
**사업부문별 주요 재무정보
1) 연결 요약 재무현황

2) 연결 요약 손익 현황

3) 별도 요약 재무 현황

4) 별도 요약 손익 현황

**주요제품, 서비스
(1) Security System
① Smart Key System : 차량에 장착된 안테나와의 통신으로 도어 및 트렁크 개폐,
버튼을 통한 편리한 시동이 가능하며 기존의 Car Lock Set 보다 보안성을 한층 강화시킨 제품
② Car Lock Set : 차량 운행에 가장 기본적이고 필수적인 제품으로, 운전자가 LOCK 장치를 사용하여 도어 및 트렁크를 열거나 잠글 수있게 하고 차량 각부에 전원인가 및 시동을 가능하게 하는 제품
③ Immobilizer System : 차량 도난 방지용 시스템으로 차량의 키에 내장된 유닛과
엔진부에 내장된 유닛의 통신으로 서로 암호화된 코드를 확인하여 일치할 경우에만
시동이 가능하게 하는 시스템
(2) Electronic Control System
① IBU (Integrated Body Control Unit) : 기존 바디제어모듈(BCM), 스마트키(SMK), 주차보조(PAS), 타이어공기압경보장치(TPMS), 이모빌라이저 등 5개의 전자제어
장치(ECU)를 하나로 통합한 장치
② PSM (Power Seat Module) / SCM (Steering Column Module) : 운전자의 편의를 향상시키기 위해 운전석의 파워시트 위치 및 스티어링 휠의 위치를 기억하고
작동시키는 장치로 별도의 조작을 하지 않아도 미리 저장해 놓은 위치로 시트 및 스티어링 휠을 자동으로 조정하는 장치
(3) Convenience Control System
① 무선충전기(Wireless Power Charger) : 휴대폰을 차량 내 출력부와 별도의 장치를 통해 연결하지 않고 충전 패드 위에 올려놓는 것만으로도 충전이 가능한 편의장치
② 냉온장컵(Cold / Heated Cup Holder) : 운전자와 동승자의 편의를 위하여 음료의 냉장과 온장 기능을 기존의 컵 홀더에 적용한 편의장치
③ 집중형 조작계(Multi-Input Device) : DIS(Driver Information System)제어를 위한 집중형 조작계로 내비게이션, 멀티미디어 기기, 차량 전자 제어 장치 등을 하나의
시스템으로 통합시켜 집중키 방식으로 제어할 수 있는 시스템
(4) ADAS / Sensors
① 79GHz Rear USRR (Ultra Short Range Radar) : 초음파 센서 대체가 가능한
초소형, 초근거리 레이더 장치
② Ultrasonic Sensor : 전/후방 주차 보조 기능으로 단거리 물체 감지 역할을 하는 초음파 센서 장치
③ 24GHz Rear & Side RADAR : 주행 또는 정차 중 후/ 측방 위험 요인의 감지 역할을 하는 레이더 장치
④ Camera (Parking Assistance System) : 후방 카메라 1개를 이용하여 AVM 이미지와 투영된 차량 바닥 이미지를 제공하는 시스템
⑤ Panorama View System : 4개의 카메라를 활용하여 사각지대 없이 더 넓은 시야를 합성 이미지로 제공하는 시스템
(5) Power Control System
① LDC (LowVoltage DC-DC Converter) : ISG (Idle Stop&Go - 차량의 연비 향상 및 배기가스 절감을 위해 공회전 시 엔진 시동을 자동으로 ON/OFF하는 '공회전 제한 시스템') 기능이 장착된 차량에서 차량 재시동 시 AUDIO, 내비게이션 및 AMP등에 공급되는 전압이 낮아지는 것을 방지하는 장치
② DC-DC Converter (48V-12V) : 48V-12V 전압을 양방향으로 변환하는 대용량
(3kW), 고효율(≥95%) 컨버터 장치 (48V 마일드 하이브리드차량의 주요 부품)
③ 1.5kW Inverter : 차량 배터리 용량 증가로 차량에 따라 대용량 가전 제품을 차량 내에서 사용 할 수 있도록 하며, 야외 활동 및 지진/정전 등 재해 시 비상용 전원으로 사용할 수있도록 하는 장치
④ BMS (Battery Management System) : BMS는 친환경 자동차, ESS (Energy Storage System) 등에 사용되는 친환경 배터리 관리 시스템으로, 배터리의 충전 상태 등을 외부 인터페이스를 통해 알려주고 과충전, 과방전, 과온도 등의 보호 기능을 수행하며 배터리의 수명 연장 역할을 하는 시스템
(6) HMI(SWITCH etc.)
① Power Window Switch : 운전석 도어에 장착되어 운전자가 차량 내 윈도우 글라스의 상승/하강, 잠금을 작동시키며 아웃사이드 미러 조절과 운전자 및 동승자의 안전을 위한 끼임방지 (Safety Power Window) 기능을 포함하고 있는 장치
② Steering Wheel Remote Control Switch : 운전자의 편의와 안전을 위하여 스티어링 휠에서 손을 떼지 않고 오디오, 클러스터 등을 조작할 수 있게 해주는 장치
③ Multifunction Switch : 방향 지시등, 전조등, 안개등, 와이퍼 기능이 운전에 방해가 되지 않도록 인체공학적으로 디자인 되는 제품으로 SAS (Steering Angle Sensor)와 통합되어 설계 최적화와 기능 안정성을 구현
④ Instrument Panel Switch : 차량의 내부 인스트루먼트 판넬에 장착되어 각종 편의 및 안전장치를 작동시키는 제품
(7) Lightweight Materials
ㅇ① 마그네슘 다이캐스팅(Magnesium Die Casted Parts)
마그네슘은 현존하는 실용금속 중 가장 가볍고 100% 재활용이 가능한 친환경 금속재료로서, 풍부한 매장량과 우수한 경량성, 주조 용이성, 전자파 차폐 효과로 최근 차량의 여러 소재로 적용되고 있습니다. 또한 정밀한 주조가 가능하기 때문에 자동차 산업을 넘어 IT 제품까지 그 영역이 확대되고 있습니다.
***제품별 매출액

***고객별 매출액

***매출실적

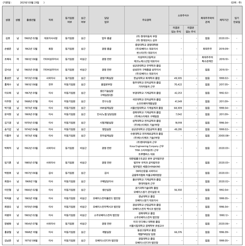
주주에 관한 사항



포괄손익계산서

매출액 : 2017년 7102억원, 2018년 7180억원, 2019년 7717억원, 2020년 7885억원으로 증가하였습니다. 2020년은 전년동기대비 2.2% 증가하였습니다. 2020년 분기별로 보면 1분기 1759억원, 2분기 1586억원, 3분기 2041억원, 4분기 2498억원입니다.
영업이익 : 2017년 -143억원, 2018년 17억원으로 흑자전환하였고,, 2019년 109억원으로 증가하였고, 2020년 -6억원으로 적자전환하였습니다. 2020년 분기별로 보면 1분기 -18억원, 2분기 25억원, 3분기 8억원, 4분기 -21억원입니다.
재무상태표

자산은 2017년 5762억원, 2018년 6354억원, 2019년 6739억원으로 증가하였고, 2020년 6673억원으로 감소하였습니다.
부채는 2017년 4382억원, 2018년 5052억원, 2019년 5125억원으로 증가하였고, 2020년은 5080억원으로 감소하였습니다.
자본은 2017년 1379억원, 2018년 1302억원으로 감소, 2019년 1614억원으로 증가하였고, 2020년 1593억원으로 감소하였습니다.
자산의 총계는 부채가 자본의 비율보다 약 3배정도 높아 재정건전성이 안정적이지 않습니다.
현금흐름표

영업활동 현금흐름 : 2017년 579억원, 2018년 105억원, 2019년 450억원, 2020년 432억원으로 영업활동 현금흐름이 원활합니다.
투자활동 현금흐름 : 2017년 -328억원, 2018년 -396억원, 2019년 -326억원, 2020년 -221억원으로 투자활동 현금흐름이 원활합니다.
재무활동 현금흐름 : 2017년 -207억원, 2018년 280억원, 2019년 94억원, 2020년 -444억원으로 2017년과 2020년의 재무활동 현금흐름은 마이너스였고, 2018년과 2019년의 재무활동 현금흐름은 플러스입니다.
- 참고로...재무활동에 대한 이해를 위해 아래를 참고하세요
- 1) 플러스 현금 흐름을 발생시키는 재무 활동 : 투자자에게 판매되는 주식 또는 주식 발행, 채권자 또는 은행에서 채무 차입, 투자자가 매입하는 부채 인 채권 발행
- 2) 마이너스 현금 흐름을 발생시키는 재무 활동 : 자사주 매입, 배당금 지급, 부채 상환
종목분석

CAPEX(Capital expenditures,자본적 지출,미래의 이윤을 창출하기 위해 지출한 비용을 말함) : 2018년 423억원, 2019년 362억원, 2020년 248억원으로 CAPEX가 좋습니다.
FCF(미래현금흐름) : 2018년 -318억원, 2019년 88억원, 2020년 248억원으로 2019년 이후미래현금흐름이 좋습니다.

매출채권회전율 : 2018년 약 1710억원, 2019년 약 1736억원, 2020년 약 1853억원이고, 회전율은 2018년 약 4회, 2019년 약 4회, 2020년 약 4회로 안정적입니다
재고자산회전율 : 2018년 약 1144억원, 2019년 약 1139억원, 2020년 약 1238억원이고, 회전율은 2018년 약 6회, 2019년 약 6회, 2020년 약 6회로 안정적입니다.
기업실적분석

부채비율 : 2018년 약 388%, 2019년 약 317%, 2020년 약 318%로 보합새를 보이고 있으며, 표준(100%)보다 상당히 높아 부채비율이 불안정합니다.
당좌비율 : 2018년 약 51%, 2019년 약 51%, 2020년 약 49%로 보합가운데 있으며, 표준보다 낮아 당좌비율이 안정적이 않습니다.
유보율 : 2018년 약 746%, 2019년 약 716%, 2020년 약 297%로 감소하고 있고, 유보율이 낮아 사내 유동자산이 부족합니다.
차트 및 총평




목표주가는 3,000원입니다.
동사는 현대/기아차에 Smart Key 시스템, Car Lock 세트, 운전대 및 데시보드 주변 의 조작 버튼 장치 등을 공급하고 있으며, 고객사 내 제품별로 40~80%의 점유율을 차지하고 있습니다. 3Q20 누적 매출 구성은 HMI(운전대, 데시보드 주변의 조작 장치들) 47.5%, 전자제어 시스템/센서(BCM, PCM을 비롯해 무선충전기, 필기인식기 등) 26.4%, Security System 16.4%, 다이캐스팅 및 기타 9.7%로 나뉩니다. 신규로 이차전 지 BMS 사업이 올해부터 본격 매출이 발생할 전망입니다. 지난해 삼성SDI와 SK이노 베이션으로부터 310억원 규모의 BMS를 수주 받았으며, 또한 작년말 미국 전기차 제조 기업 CANOO와 270억원 규모의 전기차 관련 부품 수주(멀티펑션 스위치와 SRC) 계약을 체결한 바 있습니다.
현대차와 기아차는 올해 글로벌 판매량 목표를 각각 416만대(11%YoY), 292만대 (12%YoY)로 제시하고 있으며, 경기 회복과 신차 출시 등을 고려할 때, 올해 영업환 경은 좋은 상황입니다. 특히 사업부 중에 수익성이 가장 좋은 전자제어 시스템/센서 부문의 경우, 최근 무선충전기와 필기인식기의 실적 성장이 가파릅니다. 필기인식기의 경우, 작년 제네시스 G80/GV80에 이어 올해는 GV70에 확대 적용될 전망인데, 다 른 전장 부품에 비해 가격이 10배 정도이고 영업이익률도 두자리대로 추정되어 동사 수익성 개선에 기여가 클 전망입니다.
매매포인트
모베이스전자는 20년 12월에 급등하여 21년 1월에 최고점 3790원을 찍고 보합상태에 있다가 21년 4월부터 조정을 받고 있습니다.
매수적정가는 2500원초반 입니다.
추정평균단가(21년 5월 19일)
| 종목명 | 현재가 | 개인 | 외국인 | 기관 |
| 모베이스전자 | 2700원 | 3158원 | 3095원 | 3330원 |
'주식 > 코스닥' 카테고리의 다른 글
| 아모텍(052710) 종목분석 : MLCC, 안테나, 세라믹칩 관련주 (0) | 2021.05.20 |
|---|---|
| 세틀뱅크(234340) : 핀테크 펌뱅킹, 간편 현금결제 관련주 (2) | 2021.05.20 |
| 서부T&D(006730) 종목분석 : 건설, 호텔, 그린뉴딜 관련주(21.5.18 업뎃) (0) | 2021.05.18 |
| 티에스이(131290) 종목 분석 : 반도체, OLED 관련주 (0) | 2021.05.18 |
| 매일홀딩스(005990) 종목분석 : 식료품 관련주 (0) | 2021.05.17 |

댓글